一点经验网
首页
美食营养
生活百科
知识问答
生活知识
返回
一点经验网
首页
美食营养
游戏数码
手工爱好
生活知识
生活百科
健康养生
运动户外
职场理财
情感交际
母婴教育
时尚美容
知识问答
更多知识
搜索
研祥FSC-1716VDN MANUAL工业级CPU板卡说明书:[1]
2026-02-14 10:24:01
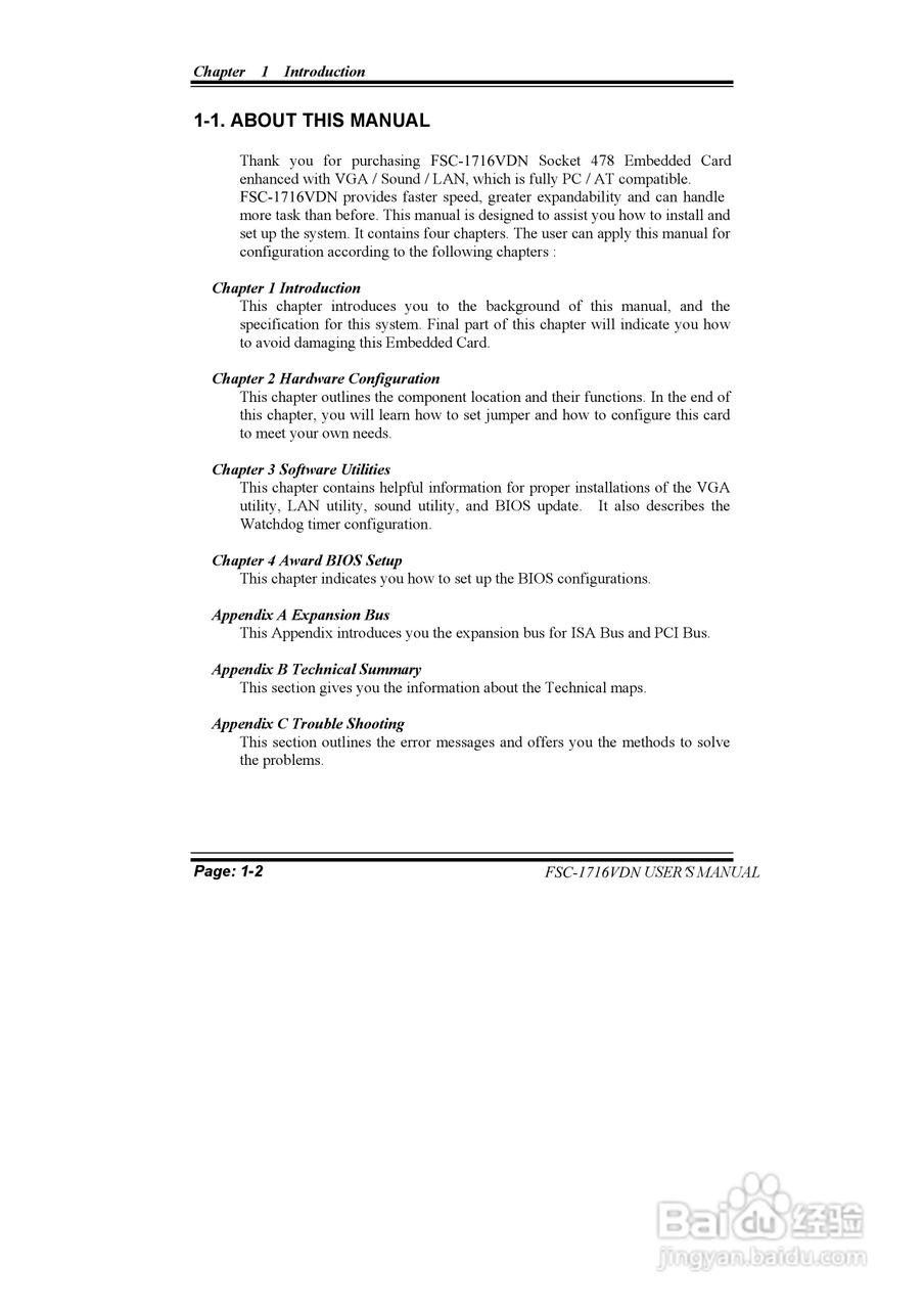
本篇为《研祥FSC-1716VDN MANUAL工业级CPU板卡说明书》,主要介绍该产品的使用方法以及常见故障解决方案。
(共篇)
下一篇:
相关推荐
研祥FSC-1716VDN MANUAL工业级CPU板卡说明书:[10]
阅读量:149
研祥FSC-1716VDN MANUAL工业级CPU板卡说明书:[4]
阅读量:60
cpu怎么开启睿频
阅读量:123
cpuz怎么看cpu体质
阅读量:75
cpu 超频小技巧 很实用的小方法 小白专用
阅读量:61
猜你喜欢
隐藏文件夹怎么恢复
pdf如何修改
加班工资如何计算
114是什么电话
惠普台式电脑怎么样
hr是什么职业
潘师傅红烧肉怎么样
格局是什么意思
安卓手机如何刷机
睿频加速怎么开启
猜你喜欢
怎么把文件夹设置密码
夜光漂怎么调
大学学习生活总结
bingo是什么意思中文
杨光的快乐生活5
梦见乌龟是什么意思
如何预防尿毒症
饥荒千年狐怎么升级
浴霸如何安装
frp是什么材料