一点经验网
首页
美食营养
生活百科
知识问答
生活知识
返回
一点经验网
首页
美食营养
游戏数码
手工爱好
生活知识
生活百科
健康养生
运动户外
职场理财
情感交际
母婴教育
时尚美容
知识问答
更多知识
搜索
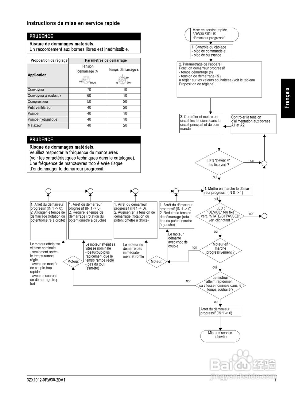
西门子 3RW31软起动器操作手册:[1]
2026-02-15 18:14:59
本篇为《西门子 3RW31软起动器操作手册》,主要介绍该产品的使用方法以及常见故障解决方案。
(共篇)
下一篇:
相关推荐
安装cmake最新版本方法
阅读量:21
Linux文件高级加密方法
阅读量:168
VMware虚拟机安装终极方法(真实亲测)
阅读量:133
如何用华三模拟器H3C Cloud Lab进行FTP的配置
阅读量:103
实现步进电机正反向运行控制的方法
阅读量:39
猜你喜欢
什么是石英表
raise是什么意思
negative是什么意思
trc是什么意思
什么app可以赚钱
穿山甲到底说了什么
ram是什么
脱颖而出的颖是什么意思
节哀顺便是什么意思
约束是什么意思
猜你喜欢
伊人是什么意思
知无不言是什么意思
流口水是什么原因
同人是什么意思呀
重读闭音节是什么
嘿咻是什么意思
often是什么意思
什么是国债
安全生产方针是什么
推特是什么意思