如何求数列通项公式:[6]递推关系式
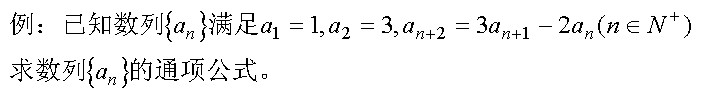
1、例1:
![如何求数列通项公式:[6]递推关系式](https://exp-picture.cdn.bcebos.com/586bfdefe07814311f3bc0dfdc6699cf03536221.jpg)
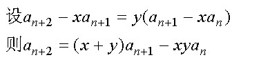
2、 用待定系数法构造新的数列,然后对比条件,得出系数。
![如何求数列通项公式:[6]递推关系式](https://exp-picture.cdn.bcebos.com/031231632385e0362a1cb55bb8e039723c035a21.jpg)
![如何求数列通项公式:[6]递推关系式](https://exp-picture.cdn.bcebos.com/38332303bbea3e86ffc593f05cd4483105eb5521.jpg)
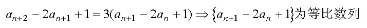
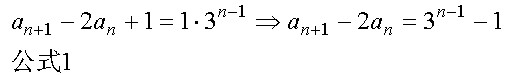
3、得出系数后,可以根据结果,然后求出通项公式。首先,先利用第一个解x=2,y=1代入,得出一个关系式
![如何求数列通项公式:[6]递推关系式](https://exp-picture.cdn.bcebos.com/d695563104ebf6a78a827098ffee1c324a184f21.jpg)
![如何求数列通项公式:[6]递推关系式](https://exp-picture.cdn.bcebos.com/4a594f2c8cf1d8a7fbbeba3746e34b2c57ee4721.jpg)
![如何求数列通项公式:[6]递推关系式](https://exp-picture.cdn.bcebos.com/4a6d48ee7b7f860e98f8174777f5ee0d3bcebe21.jpg)
![如何求数列通项公式:[6]递推关系式](https://exp-picture.cdn.bcebos.com/ef4c24ceaad7726be76f9754bf0f64781523b921.jpg)
![如何求数列通项公式:[6]递推关系式](https://exp-picture.cdn.bcebos.com/64a62a0f647814234e34848daac2bbd6e0d0b221.jpg)
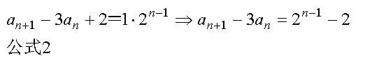
4、然后,再利用第二个解x=1,y=2代入,得出另一个关系式
![如何求数列通项公式:[6]递推关系式](https://exp-picture.cdn.bcebos.com/777f3fc2bbd6e1d0986568d20d254193cfe8af21.jpg)
![如何求数列通项公式:[6]递推关系式](https://exp-picture.cdn.bcebos.com/6ca9846186254193376542b7df1bd10ff326ab21.jpg)
5、最后,两个关系式相减(2式-1式),可得出an的通项公式
![如何求数列通项公式:[6]递推关系式](https://exp-picture.cdn.bcebos.com/40d2d0e8b004541b2d820095869a310e1699a621.jpg)
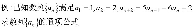
6、例2
![如何求数列通项公式:[6]递推关系式](https://exp-picture.cdn.bcebos.com/555acf0ff2260d9ace83e52a622abab84340a521.jpg)
7、根据题目,可设an+2-xan+1+z=y*(an+1-xan+z)来构造数列
![如何求数列通项公式:[6]递推关系式](https://exp-picture.cdn.bcebos.com/bbf95c406afec314f74b675dcac1b727ad539c21.jpg)
![如何求数列通项公式:[6]递推关系式](https://exp-picture.cdn.bcebos.com/ad121888912ca5cad26662fb8bfc77f7990e9421.jpg)
![如何求数列通项公式:[6]递推关系式](https://exp-picture.cdn.bcebos.com/994f412043715fdb20ae4b89468920c5270f8c21.jpg)
![如何求数列通项公式:[6]递推关系式](https://exp-picture.cdn.bcebos.com/2184380f8835dd8a4450b7b403013870d4418721.jpg)
8、得出两个解后,首先,先利用第一个解代入,得出一个关系式
![如何求数列通项公式:[6]递推关系式](https://exp-picture.cdn.bcebos.com/d400248ca608a50fb172a23f10cec7f88b77ff21.jpg)
![如何求数列通项公式:[6]递推关系式](https://exp-picture.cdn.bcebos.com/9a8fd9f88a775ddda3c217f9a427e7ef2906f921.jpg)
9、然后,再利用第二个解代入,得出另一个关系式
![如何求数列通项公式:[6]递推关系式](https://exp-picture.cdn.bcebos.com/e40b3127e7ef28065b8f606eb840b6f39087f221.jpg)
![如何求数列通项公式:[6]递推关系式](https://exp-picture.cdn.bcebos.com/939c2d40b6f3918736926b7324fce186252fef21.jpg)
10、最后两式相减,可得出an的通项公式
![如何求数列通项公式:[6]递推关系式](https://exp-picture.cdn.bcebos.com/9881b1fce186242f92fc66ac35e434daf15ee821.jpg)